Lompat ke konten Lompat ke sidebar Lompat ke footer

Soal Bilangan Berpangkat Negatif / Soal Bilangan Berpangkat Bulat Positif Negatif Dan Nol : 0 a) 6 b) ( 2 a )0 0 x3 y 4 c) ( ) 4 jawab:

Soal Bilangan Berpangkat Negatif / Soal Bilangan Berpangkat Bulat Positif Negatif Dan Nol : 0 a) 6 b) ( 2 a )0 0 x3 y 4 c) ( ) 4 jawab:. A n = a × a × a × … × a, dengan n bilangan bulat positif dan a sebanyak jumlah n. Meskipun soal ini menyediakan bilangan berpangkat bulat negatif, jangan terkecoh dan menyulitkan dirimu sendiri dengan menjadikan seluruh pembilang dan penyebutnya ke dalam bentuk pecahan di dalam pecahan. Contoh soal bilangan berpangkat negatif: 2 cara mengubah pangkat pecahan negatif menjadi positif dan sebaliknya. Dengan menggunakan definisi tersebut, kamu dapat mengubah bilangan berpangkat bulat negatif ke dalam bilangan bulat positif dan sebaliknya.

Contoh soal bilangan berpangkat berbicara mengenai bilangan berpangkat tentu kalian sudah tidak asing lagi karena ini merupakan materi kelanjutan dari materi bilangan bulat yang telah kita bahas sebelumnya. Perhatikan pola bilangan berikut untuk menemukan nilai 10 1 dan 10 2. Definisi di atas dijelaskan sebagai berikut: A n contoh soal 1. Tapi, bagi sebagian lainnya, bisa jadi pelajaran ini malah pelajaran favorit, lho!

Soal Bilangan Berpangkat Bulat Positif Negatif Dan Nol
Soal Bilangan Berpangkat Bulat Positif Negatif Dan Nol from cdn.utakatikotak.com
Pangkat bulat negatif dan nol a. Perhatikan pola bilangan berikut untuk menemukan nilai 10 1 dan 10 2. Istilah lain dari pangkat adalah eksponen. Inilah contoh laporan kegiatan yang bisa jadi acuan. Contoh soal bilangan berpangkat negatif: Contoh soal yang telah kami rangkum ini sering keluar dalam ulangan ataupun ujian nasional, jadi insyaallah sangat bermanfaat untuk siswa pelajari. Matematika dapat dikatakan sebagai pelajaran paling sulit bagi sebagian orang. A) 60 =1 b) ( 2 a )0=1 , dengan syarat a ≠ 0 0 x3 y 4 c) ( ) 4 =1 , dengan syarat x ≠ 0 dan y≠0 jadi, bilangan apa saja yang d pangkatkan dengan nol hasilnya adalah 1 b.

Meskipun soal ini menyajikan bilangan berpangkat bulat negatif, kalian jangan sampai terkecoh ya otakers atau bahkan menyulitkan diri sendiri dengan menjadikan seluruh pembilang dan penyebutnya ke dalam bentuk pecahan di dalam pecahan.

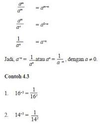
Pada video kali ini kita bahas tentang bilangan berpangkat. Eksponen negatif memberitahu anda berapa kali harus mengalikan kebalikan dari pokok. Berdasarkan sifat pembagian bilangan berpangkat positif dapat diperoleh. Apabila a∈r, a ≠ 0, dan n ialah bilangan bulat negatif, jadi: Bilangan berpangkat atau perpangkatan adalah perkalian berulang dari suatu bilangan yang sama. Gambar sifat bilangan berpangkat negatif. Pesat.id menyiapkan video terbaru tentang cara mengerjakan soal bilangan berpangkat negatif yang bisa anda jadikan referensi serta. Secara umum bilangan berpangkat dapat diartikan sebagai perkalian bilangan baik berbentuk bulat positif, nol atau bulat negatif yang dilakukan secara berulang. Bilangan berpangkat yang dimaksud dengan bilangan berpangkat ialah bilangan penyederhana dari bilangan yang dikalikan. 1 pengertian bilangan berpangkat pecahan. Inilah contoh laporan kegiatan yang bisa jadi acuan. Bilangan riil berpangkat bilangan bulat negatif berarti kebalikan dari bilangan berpangkat bulat positif atau saling resiprokal. Dalam bilangan berpangkat, terdapat beberapa jenis bilangan berpangkat yaitu pangkat positif, pangkat negatif, pangkat nol, dan pangkat pecahan.

Contoh soal cara menghitung bilangan berpangkat berikut ini beberapa contoh soal yang menggunakan rumus bilangan berpangkat. 0 a) 6 b) ( 2 a )0 0 x3 y 4 c) ( ) 4 jawab: Bentuk umum dari perpangkatan adalah. Berdasarkan sifat pembagian bilangan berpangkat positif dapat diperoleh. 1 pengertian bilangan berpangkat pecahan.

Matematika Kelas 9 Bilangan Berpangkat Pengertian Dan Sifatnya
Matematika Kelas 9 Bilangan Berpangkat Pengertian Dan Sifatnya from www.ruangguru.com
3⁴ = (3 x 3 x 3 x 3 x 3 x 3 x 3 x 3) : Perhatikan pola bilangan berikut untuk menemukan nilai 10 1 dan 10 2. Assalamualaikum selamat datang di channel pomeducation. Contoh soal bilangan berpangkat bulat positif negatif dan nol buat kamu anak kelas 9. A) 60 =1 b) ( 2 a )0=1 , dengan syarat a ≠ 0 0 x3 y 4 c) ( ) 4 =1 , dengan syarat x ≠ 0 dan y≠0 jadi, bilangan apa saja yang d pangkatkan dengan nol hasilnya adalah 1 b. Meskipun soal ini menyediakan bilangan berpangkat bulat negatif, jangan terkecoh dan menyulitkan dirimu sendiri dengan menjadikan seluruh pembilang dan penyebutnya ke dalam bentuk pecahan di dalam pecahan. Bilangan berpangkat atau perpangkatan adalah perkalian berulang dari suatu bilangan yang sama. Contoh soal yang telah kami rangkum ini sering keluar dalam ulangan ataupun ujian nasional, jadi insyaallah sangat bermanfaat untuk siswa pelajari.

5 contoh soal bilangan berpangkat pecahaan.

Definisi di atas dijelaskan sebagai berikut: X 1 y 2 / 2z 6 = …. Pembahasan soal nomor 7 ∛125 = 5 5 √243 = 3 ∜16 = 2 jadi susunan bilangan dari terkecil adalah ∜16, 5 √243, ∛125 jawaban : Bilangannya dapat berupa bilangan pangkat bulat positif, nol atau bulat negatif. Bilangan berpangkat yang dibahas terdiri dari bilangan bulat berpangkat positif, bilangan bulat berpangkat negatif, dan bilangan pecahan berpangkat. 3⁴ = (3 x 3 x 3 x 3 x 3 x 3 x 3 x 3) : Kamu bisa, lho, menerapkan salah satu sifat bilangan berpangkat bulat positif pada operasi perkalian yang ada di dalam soal ini. Contoh soal bilangan berpangkat berbicara mengenai bilangan berpangkat tentu kalian sudah tidak asing lagi karena ini merupakan materi kelanjutan dari materi bilangan bulat yang telah kita bahas sebelumnya. Meskipun soal ini menyediakan bilangan berpangkat bulat negatif, jangan terkecoh dan menyulitkan dirimu sendiri dengan menjadikan seluruh pembilang dan penyebutnya ke dalam bentuk pecahan di dalam pecahan. Pesat.id adalah website berita indonesia terbaru dan terpercaya. Untuk memudahkan dan menyederhanakan pengerjaannya, penulisan contoh tersebut dapat menjadi 5 5. 2 cara mengubah pangkat pecahan negatif menjadi positif dan sebaliknya. Matematika dapat dikatakan sebagai pelajaran paling sulit bagi sebagian orang.

Contoh soal dan jawaban bilangan berpangkat smk. 0 a) 6 b) ( 2 a )0 0 x3 y 4 c) ( ) 4 jawab: Menurutmu, apa yang terjadi jika suatu bilangan berpangkat bulat negatif? Dalam materi bilangan berpangkat terdapat pebahasan mengenai pengertian bilangan berpangkat negatif, contoh soal bilangan berpangkat negatif dan cara menghitung bilangan berpangkat negatif. Pembahasan soal nomor 7 ∛125 = 5 5 √243 = 3 ∜16 = 2 jadi susunan bilangan dari terkecil adalah ∜16, 5 √243, ∛125 jawaban :

Sifat Bilangan Berpangkat Dan Contoh Soal Pembahasan Lengkap
Sifat Bilangan Berpangkat Dan Contoh Soal Pembahasan Lengkap from majalahpendidikan.com
Contoh soal dan jawaban bilangan berpangkat smk. Tapi, bagi sebagian lainnya, bisa jadi pelajaran ini malah pelajaran favorit, lho! Bilangan berpangkat adalah bilangan yang memiliki pangkat. Contoh soal bilangan berpangkat bulat positif negatif dan nol buat kamu anak kelas 9. Video ini membahas tentang seri pembelajaran matematika bilangan berpangkat negatif beserta pembahsannya yang di kupas secara jelas lengkap dan terpercaya Dengan menggunakan definisi tersebut, kamu dapat mengubah bilangan berpangkat bulat negatif ke dalam bilangan bulat positif dan sebaliknya. Meskipun soal ini menyediakan bilangan berpangkat bulat negatif, jangan terkecoh dan menyulitkan dirimu sendiri dengan menjadikan seluruh pembilang dan penyebutnya ke dalam bentuk pecahan di dalam pecahan. Bilangan berpangkat atau perpangkatan adalah perkalian berulang dari suatu bilangan yang sama.

Video ini membahas tentang seri pembelajaran matematika bilangan berpangkat negatif beserta pembahsannya yang di kupas secara jelas lengkap dan terpercaya

Tapi, bagi sebagian lainnya, bisa jadi pelajaran ini malah pelajaran favorit, lho! 0 a) 6 b) ( 2 a )0 0 x3 y 4 c) ( ) 4 jawab: Bentuk umum dari perpangkatan adalah. Contoh soal cara menghitung bilangan berpangkat berikut ini beberapa contoh soal yang menggunakan rumus bilangan berpangkat. Nyatakan dengan pangkat negatif bilangan berpangkat berikut ini : Video ini merupakan pengetahuan dasar unt. Contoh soal bilangan berpangkat bulat positif negatif dan soal dan pembahasan matematika bentuk pangkat dan akar 1 5 kumpulan soal bentuk pangkat dan akar. Bilangan berpangkat nol untuk a ∈ r dan a ≠ 0 maka a0 =1 contoh soal: Kamu bisa, lho, menerapkan salah satu sifat bilangan berpangkat bulat positif pada operasi perkalian yang ada di dalam soal ini. Eksponen negatif memberitahu anda berapa kali harus mengalikan kebalikan dari pokok. Dalam materi bilangan berpangkat terdapat pebahasan mengenai pengertian bilangan berpangkat negatif, contoh soal bilangan berpangkat negatif dan cara menghitung bilangan berpangkat negatif. Anda sekarang sudah mengetahui definisi dari bilangan berpangkat bilangan bulat positif. Matematika dapat dikatakan sebagai pelajaran paling sulit bagi sebagian orang.

Posting Komentar untuk "Soal Bilangan Berpangkat Negatif / Soal Bilangan Berpangkat Bulat Positif Negatif Dan Nol : 0 a) 6 b) ( 2 a )0 0 x3 y 4 c) ( ) 4 jawab:"